I hate to tease a new series of blog posts and never deliver. Well, that’s exactly what I did when I whet your appetite for some bad song lyrics. That little sample I released was oh, so bad. But that was almost 2 months ago! Yeah, this has been a somewhat unsettled year in my life, but this is not a time for excuses. I know you, the readers, need some more bad song lyrics. I am finally ready to deliver.
But not just the printed word. How about an interpretive reading of the lyrics? By the author and lyricist himself … me!

Common reaction actually when someone in the entertainment world like me offers up something unique like this that speaks directly to the hearts of the fans. Here is “Midnight Madness” interpretively read by little old me.
Well, wasn’t that a special treat? But wait! There’s more, oh, so much more.
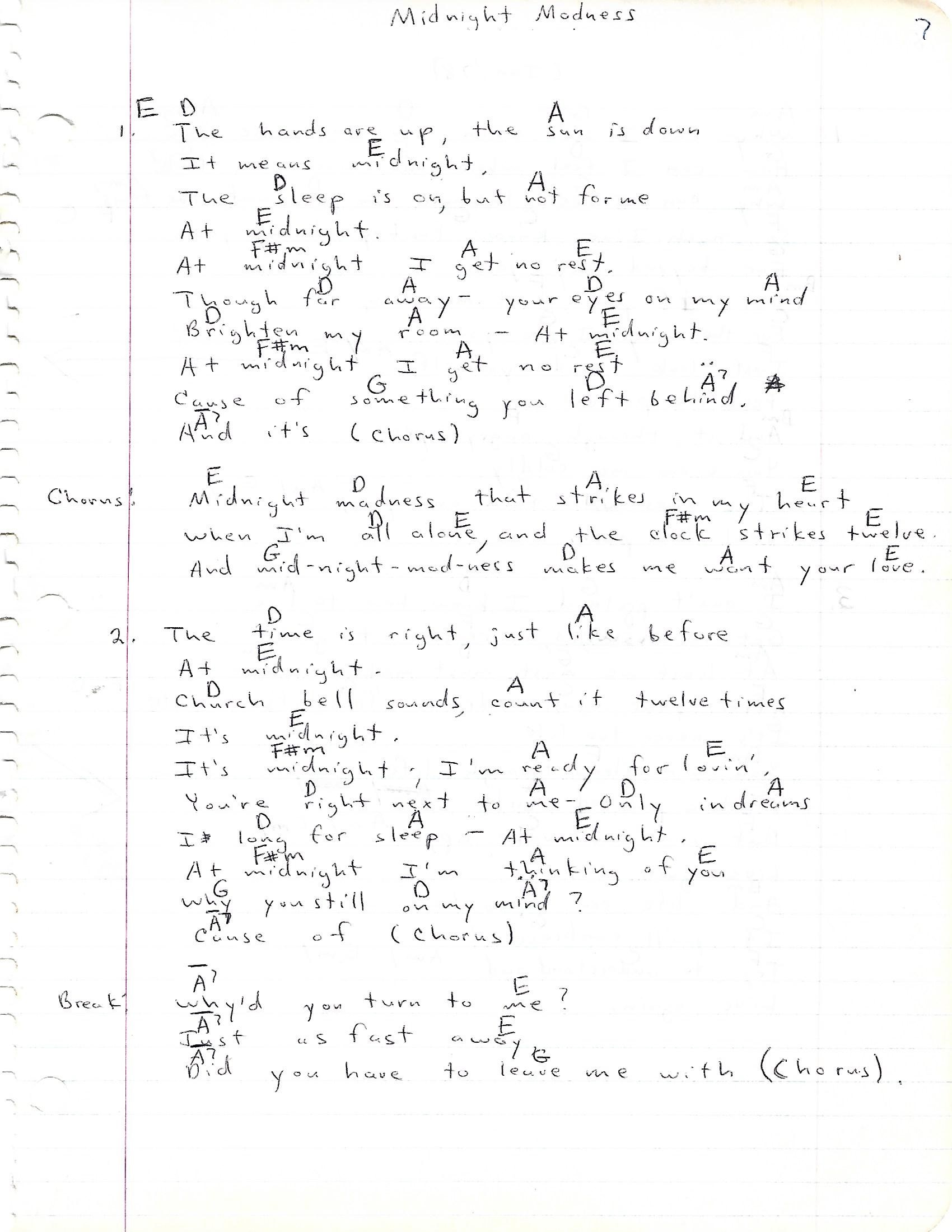
Not only do you get to hear my dulcet tones as I interpretively read “Midnight Madness,” but now you can play along on your guitar! Here is my written version from decades ago with simple guitar chording so you too can play “Midnight Madness” as I did sitting on my bed in my lonely childhood bedroom, feverish with an actual confirmed case of midnight madness.

You may find playing and singing “Midnight Madness” to be very useful. For example, if you have a family of skunks living under your front porch, serenade them with a few hours of “Midnight Madness” and I expect they will be eager to move on.
Now I have an offer for you. You are free to record “Midnight Madness” as long as you give me credit/blame for the lyrics and only pay me a low, low royalty fee of 10% of all proceeds. And I’ll sweeten the pot a bit more. Let’s talk about even a lower percentage. How does 0% sound? That’s right, I am willing to contribute 0% to the cost of recording this song. Such a deal. Don’t pass it up. If you do, I may suspect you of having a case of “Midnight Madness.”